
New study in C08N: The performance of Pd/TiO2-HY H2-SCR catalysts was optimized through loading variation, promoter addition, and pairing with a conventional Fe/BEA NH3-SCR catalyst. The bifunctional system yielded superior NO conversion and N2 selectivity, which underscores the potential of advanced material combinations to overcome current limitations of H2-SCR.

Congratulations to our collegues of A03: In their recent study, they developed a UHV‑compatible flow reactor that enables contamination‑free preparation, characterization, and testing of model catalysts under precisely controlled reaction conditions. Demonstrated through CO oxidation on Pt surfaces and Pt clusters, the setup reveals clear reactivity trends and highlights powerful new capabilities for detailed heterogeneous catalysis studies. Find more here

Martin Kutscherauer (Project C07N: Multiscale and Engineering Modeling of Catalytic Reactors) joined the group of Prof. Daniele Marchisio at Politecnico di Torino for four months to develop a model for describing transport and reaction inside mesoporous catalyst by solving the kinetic Boltzmann equation with QBMM. The first results were presented in a keynote lecture at the ECCE 25 in Lisbon in September 2025.

We look back to a fascinating conference fully packed with interesting talks on environmental catalysis. Our 9 TrackAct participants had in total 1 poster (with poster prize!), 2 short oral presentations, 3 oral presentations and 1 plenary lecture in beautiful Sicily! Well done!

Asad Asadli won a Poster Prize at the International Conference on Environmental Catalysis (ICEC 2025) in Isola delle Femmine/Sicily, Italy. He presented a joint study on induction heating of catalytic reactors from Project C06E, Mercator Fellow Prof. Dr. Silvia Gross and Project B02.

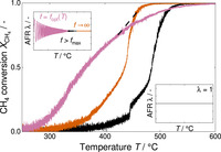
Exciting news! A recent study from our colleagues Patrick Lott and Thomas Koch (both C08), published in Industrial & Engineering Chemistry Research, bridges the gap between catalyst performance in the lab and real engine environments.
Check out the full article below to explore how smart cycling strategies can pave the way for cleaner, greener engines.
More
The team led by Andreas Stierle (DESY, TrackAct project A05) has uncovered “nanoburgers” in platinum‑rhodium nanoparticles, which could hold the key to more efficient catalysts. Using advanced Bragg Coherent Diffraction Imaging at ESRF in Grenoble, the researchers visualized the atomic arrangements and identified surprising defects in these nano‑shaped particles.
Read the full story and discover how “flaws” at the nanoscale can lead to innovation here and the publication below!
More Visiting researcher at Politecnico di Torino and keynote lecture at the ECCEMartin Kutscherauer (Project C07N: Multiscale and Engineering Modeling of Catalytic Reactors) joined the group of Prof. Daniele Marchisio at Politecnico di Torino for four months to develop a model for describing transport and reaction inside mesoporous catalyst by solving the kinetic Boltzmann equation with QBMM. The first results were presented in a keynote lecture at the ECCE 25 in Lisbon in September 2025. |
TrackAct at ICECWe look back to a fascinating conference fully packed with interesting talks on environmental catalysis. Our 9 TrackAct participants had in total 1 poster (with poster prize!), 2 short oral presentations, 3 oral presentations and 1 plenary lecture in beautiful Sicily! Well done! |
Poster Prize for Asad Asadli (another one!)Asad Asadli won a Poster Prize at the International Conference on Environmental Catalysis (ICEC 2025) in Isola delle Femmine/Sicily, Italy. He presented a joint study on induction heating of catalytic reactors from Project C06E, Mercator Fellow Prof. Dr. Silvia Gross and Project B02. |
Poster Prize for Asad AsadliAsad Asadli won the Best Poster Award at the 58th international Annual Meeting of German Catalytic Scientists (Jahrestreffen Deutscher Katalytiker) in Weimar. The poster entitled "Development of Catalyst Bed Concepts for Induction Heating for Emission Control" presented a collaborative work of the new project C06N with the group of TrackAct Mercator Fellow Prof. Dr. Silvia Gross - Congratulations! |
Ernst Haage Prize Award for Prof. Barbara LechnerProf. Barbara Lechner has been awarded the Ernst Haage Prize for her work on functional nanomaterials. This prestigious award, valued at 7,500 euros, is given annually by the Mülheim Max Planck Institutes to talented young researchers in chemistry. Prof. Lechner's research focuses on the dynamic restructuring of nanomaterials under realistic conditions using high-resolution scanning tunneling microscopes. Congratulations! More |
Best Paper Award for Johanna ReichThe Best Paper Award of the TUM Catalysis Research Center was awarded to Johanna Reich for her publication "A Critical View on the Quantification of Model Catalyst Activity"! This award recognizes outstanding collaborative work by Catalysis Research Center doctoral candidates. In her laudatio, Prof. Lechner praised Johanna's cleverly designed experiments, and Johanna highlighted the importance of scaling lab results in her research on platinum-19 clusters on magnetite surfaces. Congratulations! More |
Thomas Sheppard now Full Professor at TU Wien!We are thrilled to announce that our PI THomas Sheppard started his new position as Full Professor at TU Wien (link to press release)! There, he will continue his research on heterogeneous catalysis, the application of X-ray imaging for chemical processes and sustainable chemistry, in particular CO₂ conversion and power-to-X technologies. Congratulations! More |
Hector Science Prize for PI Stefanie Dehnen!Stefanie Dehnen, Professor of Information-Based Materials Design and Nanoscience and of Inorganic Chemistry at the Karlsruhe Institute of Technology (KIT), was awarded one of the two Hector Science Prizes for the year 2024 on Friday, January 24, 2025. The Hector Foundation jury recognized Dehnen's contributions to the chemistry of cluster compounds and their utilization in materials science. In doing so, the researcher has opened up insights that have caused an international sensation and are being pursued worldwide. More |
Four more Years!We are very happy to announce that our Collaborative Research Center 1441 TrackAct will be continued for four more years! Our new projects and PIs will be announced in the coming days in the research tab. More information can be found in the official press releases of DFG and KIT. |
International CataLysis Networking Conference 2024The 3rd International CataLysis Networking Conference, held from September 24-26, 2024, was a vibrant gathering of the German DFG-funded collaborative research centers (CRCs) and Transregios (TRRs) dedicated to catalysis. With over 250 participants, the event showcased groundbreaking research and fostered dynamic discussions on interdisciplinary topics. We extend our heartfelt thanks to our inspiring keynote speakers and offer our warmest congratulations to the eight well-deserved poster prize winners. |
Plenary talk at EuropaCat 2025The EuropaCat 2025 - 16th European Congress on Catalysis is approaching and we are thrilled to announce that Prof. Jan-Dierk Grunwaldt will give a plenary talk. Besides, of course further contributions of TrackAct are planned. Curious? Check out the EuropaCat homepage for more updates: More |
Poster Prize for Asad AsadliAsad Asadli won a Poster Prize at the 3rd International Conference on Unconventional Catalysis, Reactors and Applications (UCRA 2024) in Warshaw, Poland. He presented joint initial work from our Associated Project Wolf Research Centre 1441 TrackAct with our Mercator Fellow Prof. Dr. Silvia Gross (University of Padova) as well as Dr. Alexis Bordet’s group (Max Planck Institute for Chemical Energy Conversion, Mülheim a.d.R). |
Prof. Dr. Barbara A. J. Lechner (TU München) wins Ernst Haage Prize for Chemistry 2024Congratulations to Prof. Dr. Barbara A. J. Lechner (TU München) on winning the Ernst Haage Prize for Chemistry 2024. The prize is awarded annually to young scientists who have made an exceptional achievement in the field of chemistry. Registration for the ceremony is possible via the link below. More |
FuturEMission conference in KarlsruheHuge thanks to all participants, presenters and speakers for their insightful contributions to our 3 day conference on the Future of Emission Control FuturEMission. Together, we delved into crucial aspects of the future of emission control. Looking forward to the next gathering! |
Concept for more efficient precious metal catalysts published in Angewandte ChemieOur colleagues in projects A3/B1, A4, B2, B3, B4 developed a concept that increases the stability of noble metal clusters against sintering and redispersion for highly active and stable emission control catalysts. The inspiring study has been published as a "Very Important Paper" in the journal Angewandte Chemie (DOI: 10.1002/anie.202408511). More (German) |
Katalyseforschung auf drei Skalenebenen - VideoGet to know the different departments in our second video! Here, our scientists present their work - from catalysts in the microcosm to hand-sized, applied catalysts. More |
Auf der Jagd nach dem aktiven Zentrum - VideoHow do catalysts work and what do they look like during the reaction? These are the key questions for the development of efficient catalytic processes, the understanding of which is the ultimate goal of TrackAct. More |
Carl-Zerbe Award for Prof Dr Moritz WolfTT-Prof. Dr. Moritz Wolf has received the prestigious Carl-Zerbe Award from the German Scientific Society for Sustainable Energy Sources, Mobility and Carbon Cycles e. V. (DGMK). The prize recognizes outstanding scientific work by young scientists in the fields of processing and application of carbon carriers, such as their conversion. The award, endowed with €5,000, was presented at the DGMK/ÖGEW/SCI Conference "C1 Building Blocks for Future Chemistry" on October 12, 2023 in Dresden. Congratulations from the entire CRC! More |
PhD Autumn School at TUMThe TrackAct Autumn school, titled 'From Model to Application - Trends in Emission Reduction,' held at TUM, proved to be an enriching week for the PhDs specializing in emission control. It featured a series of captivating scientific lectures that seamlessly transitioned from the fundamental aspects of catalysts to their practical applications. Exploring the atomic scale dynamics to in situ characterization of complex model and technical catalysts; discussing catalysts as enablers of sustainability to making them sustainable, and finally, the critical factors on transcending the fundamental knowledge to industrial applications. Adding to this, an industry visit to 'Clariant' and informative lectures on industry-focused research served as the cherry on top, effectively bridging the gap between theory and practice, and strengthening our dedication to our respective fields of study. Another key focus of the school was the inclusion of a few career-oriented minutes by all the scientific lecturers. These discussions provided invaluable insights into the array of career possibilities available to PhD graduates, offering valuable guidance and support for our future endeavors. |
TrackAct Status Meeting at DESYThanks to DESY and in particular Andreas Stierle and Christian Schroer and their groups for hosting our TrackAct status meeting! Together with our groups from KIT and TUM, we had 3 days full of fascinating talks/discussions! Many thanks also to our guest speakers R. Horn (TUHH), M. Behrens (CAU), and U. Hejral (FHI) for inspiring talks! |
YounGeCats Poster WorkshopCongratulations to our TrackAct PhDs Shweta Sharma and Rinu Chacko for their not only great, but even award-winning presentations in the YounGeCats poster workshop! |
56th German Catalysis MeetingWe look back to an awesome 56th German Catalysis Meeting with many participants from our CRC. |
Welcome Prof. Dr. Moritz WolfGratulations and welcome to Prof. Dr. Moritz Wolf and his group to our CRC TrackAct! The proposal “Inductive heating of catalysts and novel reactor designs” by Prof. Dr. Moritz Wolf (IKFT, KIT) won the second CRC1441 call "Promotion & association of new junior group research leaders". We are looking forward to many fruitful collaborations and new impulses! |
PL retreat in TrifelsIn a two day retreat of TrackAct end of January, our principal investigators layed the fundament for the 2nd funding phase with many fruitful discussions and creative ideas - supported by a lot of sun. |
Interim Professor Thomas SheppardCongratulations to Thomas Sheppard! The whole CRC congratulates to Prof. Dr. Thomas Sheppard on his new position as Interim Professor at Institute of Chemical Technology in Leipzig! In his new position, he and his group will continue their exciting work on in situ and operando chemical imaging of catalysts with synchrotron radiation. More |
TrackAct annual status meetingThanks to all project partners for the amazing talks, posters & vivid discussions during our TrackAct annual status meeting at KIT! Also, many thanks to our external speakers R. Braun, A. Beck & E. Hensen for the inspiring talks! |
Welcome Prof. Hanf and M. Sc. Rang to our CRC!With her proposal “Support engineering for the stabilization of single-atom catalysts”, Jun.-Prof. Dr. Schirin Hanf (IOC, KIT) won the CRC1441 call “Promotion and association of new junior group research leaders”. We are very happy to welcome Prof. Hanf and M.Sc. Fabian Rang to our CRC and look very much forward to new collaborations and insights to single atom catalysts! |
| Visit of Mercator Fellow Prof. Dr. Alessandra Beretta We were very happy that Mercator Fellow Prof. Dr. Alessandra Beretta visited our groups at KIT starting from the 11.7.2022! The scientific exchange with the Casapu, Deutschmann, Grunwaldt, Dittmeyer and Behrens group triggered many fruitful discussions, which will continue over the next weeks. We now look forward to Mercator Fellow Prof. Dr. Silvia Gross, who will be at KIT end of July, and also for Mercator Fellow Prof. Dr. Christian D. Damsgaard, who has announced to visit KIT in Autumn 2022 |
| Introduction lecture to the Chemistry Faculty Dr. Thomas Sheppard On the 11.07.2022 Dr. Thomas Sheppard gave his introduction lecture to the Chemistry Faculty at KIT with the title “New Dimensions in Catalysis and Chemical Technology with X-ray Imaging” |
Newly funded project A6Jun. Prof. Yolita Eggeler is now part of our CRC! The newly funded project A6 started in 07/2022. In this project, analytical in situ environmental scanning electron microscopy will be combined with transmission electron microscopy and thus will expand the scale bridging approach by closing the gap between the nano- and mesoscale TEM. Welcome on board! |
| Prof. Dr. Silke Behrens GDCh talk On Thursday, 23.06.2022, Prof. Dr. Silke Behrens gave her inaugural lecture as GDCh talk on the topic: “Nanoparticles in Materials Science: From Model Catalysts to Magnetic Hybrid Materials". Congratulations from the whole CRC! |
| Prof. Dr. JD Grunwaldt Visits Mercator Fellows End of June and beginning of July, the speaker of the CRC, Prof. Dr. Jan-Dierk Grunwaldt, visited University of Padua, Politecnico di Milano as well as Technical University of Denmark and was nicely hosted by all three Mercator fellows of the CRC. Many thanks to Prof. Dr. Silvia Gross, Prof. Dr. Alessandra Beretta and Prof. Dr. Christian D. Damsgaard! |
CataLysis Networking Conference 2022With over 40 stunning talks, 113 beautiful posters and nearly 250 participants, the CataLysis Networking Conference 2022 was a huge success! We hope that many of the fruitful and vivid discussions will contribute to further exchange between the CRCs/TRRs. Thanks to all participants, chair persons, the microphone helpers, the La Strada Team and also JS Medientechnik for enabling this great event! |
26th German Female Physicists' Conference 2022The German Conference of Women in Physics (Deutsche Physikerinnentagung), taking place annually since 1997, is supported by the German Physical Society (Deutsche Physikalische Gesellschaft DPG) and by its Working Group on Equal Opportunities (AKC). This year's conference will be hosted by the Karlsruhe Institute of Technology (KIT). More |
| Brazilian Synchrotron Light Source Annual User Meeting Invited talk by Dr. Thomas Sheppard during the Brazilian LNLS annual users meeting from November 8th - 9th, 2022. More |
| July 4th, 2022: Watching catalysts at work using synchrotron light |
| LINXS Catalysis Workshop in Lund, Sweden Invited talk by Dr. Thomas Sheppard on June 30th, 2022. More |
| Explore and push the limits for next-generation catalysts using fundamental understanding Invited talk by Prof. Jan-Dierk Grunwaldt on June 17th, 2022 |
| International CataLysis Networking Conference 2022 The CataLysis Conference 2022 will bring together the communities of the German DFG-funded collaborative research centers (CRCs) or Transregios (TRRs) working within the field of catalysis. Up to 400 participants form the CataLysis CRCs will have the chance to exchange on their latest fascinating research and to discuss interdisciplinary topics like F.A.I.R. research data (together with NFDI4Cat). Furthermore, we will have amazing, selected talks (four per CRC), presented in two parallel sessions, every project will have the chance to present a poster and we will provide a panel for networking for early-career group leaders. More |
| Catalysis for a clean and sustainable future: Dynamics on different time and complexity scales Seminar by Prof. Jan-Dierk Grunwaldt on March 22nd, 2022. More |
CRC 1441 kickoff meeting in FreudenstadtThe CRC 1441 kickoff meeting took place from October 11th to 13th, 2021 in Freudenstadt. More |
| X-rays reveal single catalyst nanoparticle at work Press release by ESRF on October 8th, 2021. More |
| Röntgenanalyse zeigt Verhalten von Katalysatormaterialien unter realen Bedingungen. Press release by pro-physik.de on October 7th, 2021. More |
| Unprecedented view of a single catalyst nanoparticle at work Press release by EurekAlert! on October 1st, 2021. More |
| Modern Concepts in Catalysis: From Science to Engineering - The South-West-German Catalysis Course |
| CRC online meeting The CRC online meeting took place from July 5th to 7th, 2021. |
| Funding of the consortium "DAPHNE4NFDI" within the framework of the National Research Data Infrastructure announced Press release by SN on July 2nd, 2021. More |
| DFG to Fund 20 New Collaborative Research Centres Press release by DFG on November 27th, 2020. More |
| Noble Metal Clusters Can Enhance Performance of Catalysts and Save Resources Press release by KIT on September 22nd, 2020. More |
| KIT: Edelmetallcluster können Katalysatoren leistungsfähig machen und Ressourcen schonen Press release by idw on September 22nd, 2020. More |
UHV-compatible flow reactorCongratulations to our collegues of A03: In their recent study, they developed a UHV‑compatible flow reactor that enables contamination‑free preparation, characterization, and testing of model catalysts under precisely controlled reaction conditions. Demonstrated through CO oxidation on Pt surfaces and Pt clusters, the setup reveals clear reactivity trends and highlights powerful new capabilities for detailed heterogeneous catalysis studies. Find more here |
Bridging Lab and EngineExciting news! A recent study from our colleagues Patrick Lott and Thomas Koch (both C08), published in Industrial & Engineering Chemistry Research, bridges the gap between catalyst performance in the lab and real engine environments. Check out the full article below to explore how smart cycling strategies can pave the way for cleaner, greener engines. More |
Coherent X-ray Diffraction Imaging of a Twinned PtRh Catalyst Nanoparticle under Operando ConditionsThe team led by Andreas Stierle (DESY, TrackAct project A05) has uncovered “nanoburgers” in platinum‑rhodium nanoparticles, which could hold the key to more efficient catalysts. Using advanced Bragg Coherent Diffraction Imaging at ESRF in Grenoble, the researchers visualized the atomic arrangements and identified surprising defects in these nano‑shaped particles. Read the full story and discover how “flaws” at the nanoscale can lead to innovation here and the publication below! More |
Microkinetic Modeling of Support Effects in PdO-Based Methane Oxidation CatalystsIn a recently published article in ACS Catalysis, our colleagues from B4 and INF present two new sets of kinetic parameters that accurately simulate the water inhibition effect during methane oxidation on PdO catalysts supported over SnO₂ and ZrO₂. More |
Comparing powder catalysts with coated monoliths?Using CO oxidation as probe reaction, our colleagues from C04 and C02 compared different catalyst forms during operando measurements. Read the full story to find out, why you should always listen to chemical engineers and how to translate spectroscopic results from one catalyst shape to another. More |
How precursor solubility impacts the nano particle synthesis in CO2In their recent study, our colleagues from C01 present new experimental data on the solubility of various metal precursors in supercritical CO₂. By comparing these findings with existing literature and correlating them using several semi-empirical models, they were able to optimize the synthesis of supported metallic nanoparticles! More |
TrackAct goes "Art"-gewandte, part 2:On their quest for PFAS remediation in gas phase, Lott, Maurer and Beck seem to be inspired by the force and packed it into a front cover for Angwandte: https://onlinelibrary.wiley.com/doi/10.1002/anie.202506110 Learn about "the present menace" and the potential application of catalysts in their minireview (https://onlinelibrary.wiley.com/doi/10.1002/anie.202424718) "Roadmap to Catalytic Abatement of Gas Phase Per- and Polyfluoroalkyl Substances (PFAS)" |
TrackAct goes "Art"-gewandte, part 1:Congratulations to B02 and coworkers for their inspiring inside back cover on their study "Single-Step Synthesis of Dimethyl Ether from Syngas over Nanoparticle-Derived Bifunctional Pd/CeO2/Al2O3 Catalysts"! You can admire their work here https://onlinelibrary.wiley.com/doi/10.1002/anie.202505854 and the original paper here https://onlinelibrary.wiley.com/doi/full/10.1002/anie.202423273 |
Bifunctional catalyst concept for dimethyl ether synthesisThe paper of our colleagues from B02, C02 and A04 explores a single-step synthesis of dimethyl ether (DME) from syngas using bifunctional Pd/CeO2/γ-Al2O3 catalysts. The innovative approach leverages palladium colloids dispersed in a nanoscale cerium oxide matrix, significantly enhancing CO conversion and DME yield compared to traditional two-step processes. Detailed spectroscopic and microscopic analyses reveal the formation of highly dispersed palladium clusters within the cerium oxide matrix, contributing to the superior catalytic performance and stability. More |
New Publication in INF, A04 and B04In their new study, our colleagues from INF together with A04 and B04 introduce CaRIn (https://carmen-754.pages.dev/#/home), a novel application within the CaRMeN platform, which enhances infrared spectroscopy analysis by simulating peak broadening in real-time using Gaussian functions. This tool significantly improves the visual comparability of spectra and integrates a comprehensive database, streamlining workflows for researchers in heterogeneous catalysis. More |
Confining the Synthesis of Palladium Nanoparticles in Mesoporous Silicas for CO Oxidation: The Role of the SupportHow can we incorporate noble metal nanoparticles into highly constrained pore networks and achieve uniform particles? The group of our Mercator Fellow, Prof. Silvia Gross, together with colleagues from A07, B01, B02, and C02, successfully synthesized Pd nanoparticles supported on mesoporous silica. The catalyst demonstrated remarkable stability and activity, showcasing the potential of mesoporous silicas in advanced catalytic applications! More |
A simplified CFD approach for modeling mass transport in catalytic open-cell foamsThe colleagues from C07N presented a simplified CFD model to account for external and internal mass transport in catalytic washcoats. The catalytic CO oxidation over platinum is studied, but the model can used for much more reactions and many different reactor types. More |
Investigation of Thermal Decomposition of Pt17 ClustersOur colleagues from A02 studied the thermal decomposition of Pt17(CO)12(PPh3)82 to understand the changes during activation. Using mass spectrometry and surface science, they discovered that CO and benzene are released at higher energies, followed by H2 loss, indicating Pt-catalyzed C-H activation during partial ligand shell stripping. Check out their fascinating study! More |
More than 100 publications in the first funding period!We are happy to announce that a new milstone has been reached: Over 100 peer-reviewed publications (currently even 109) were published by the CRC consortium covering unique synthesis of atomic precise clusters, concepts for the in situ generation (and characterization) of noble metal clusters to novel approaches on evaluation and testing of catalysts for clean air! We thank everybody contributing to this success! |
Concept for the in situ generation and stabilization of highly active Pd nanoclusterHow to glue together few atoms? In their new study, our coworkers from B02, B03, B04 have demonstrated a new concept how ceria islands can be used to facilitate the formation of Pd clusters. The innovative work was also highlighted in a press release! More |
New JPCC publication between Project Area A and BIn their new study, our colleagues from A05, A06 and B03 have developed a new method to grow epitaxial CeO2(001) thin films on YSZ(001) supports, revealing fascinating redox properties for catalysis and energy conversion. Using advanced techniques, they discovered that tube furnace annealing significantly restructures the film, making it atomically smooth and fully oxidized. The full paper can be found here. More |
New ACS nano publication of A05How does the alloy composition and atomic arrangement of Pd/Pt nanoparticles influence CO adsorption and IR band frequencies, and what is the impact of hydrogen adsorption on these surfaces? Check out the new publication by our colleagues in A05 here. More |
New Publication in C05Congratulations to Project C5 on their new study on Temperature-dependent frequency control of TWC operation for efficient CH4 and NOx abatement of stoichiometric natural gas engines. Check out the new publication in ScienceDirect. More |
New Publication in A04, A01 and A02In their study, our colleagues from project A04, A01 and A02 investigated the role of hydrogen atoms in the stability of cuboctahedral platinum cage structure of Pt12H24- clusters using a combination of trapped ion electron diffraction technique and density functional theory computations. More |
New Publication in B02 und C02Our colleagues from B02 and C02 developed continuous flow synthesis platform enabling large-scale preparation of atom-defined clusters. If you want to know more about the potential of this approach, check out this exciting study! More |
New Publication in B3Selective oxidation of NH3 to N2 represent the desired reaction pathway for NH3 elimination. Using a combination of complementary spectroscopic techniques in combination with theoretical calculations, our colleagues were able to reveal the correlation between the different Pt states and the reaction selectivity. More |
New Publication in C03Are you interested to unlock the mysteries of technical catalyst deactivation? Do you want to know which methods may help you to get deep insights into deactivation mechanisms? Check out our recent review published in ChemCatChem. More |
New Publication in A02To compare the catalytic activity over large complexity and pressure ranges, the determination of the turnover frequency (TOF) is essential. Our colleagues from A2 critically investigated the influence of different experimental parameters on the observed TOF values of UHV-based model systems of different complexity in their newest study. Congratulations! More |
New Publication in A05! |
New Publication in B1, B2, B3, C1 and C2Congratulations to our Projects B1, B2, B3, C1 and C2 for their recent study on "TiO2-CeOx-Pt Hollow Nanosphere Catalyst for Low-Temperature CO Oxidation". New synthesis strategy for hollow nanospheres already lead to active materials and is a promisong concept for future emission control catalysts. More |
New Publication in A2Congratulations to Project A2 for their recent study on the question: How do Silver-clusters dissociate in gas phase? This complex process was answered in detail using mass spectrometry and complementary theoretical calculations. More |
Project C1: Fluids Cover PageCongratulations to C1! The nice review on supercritical fluid reactive deposition was even chosen as exciting cover page. More |
New Publication in INF, B4 and C5Congratulations to Chacko et al. on their new study: "Automating the Optimization of Catalytic Reaction Mechanism Parameters Using Basin-Hopping: A Proof of Concept More |
New Publication in C5, C2 and B2Congratulations to Keller et al. on their new study: "Methane oxidation over PdO: Towards a better understanding of the influence of the support material" More |
TrackAct-related Publication in A2What are the driving forces causing extended metal surfaces to break up into small clusters under reaction conditions? Xu et al. have used DFT and kinetic Monte Carlo simulations to study how adsorbates can lead to a detachment of metal atoms and subsequent formation of small clusters, supported by experimental data by Barbara A.J. Lechner and Miquel Salmeron. More |
New Publication in C1In their newest review, our colleagues from C1 gave an overview of experimental and modeling studies work for the supercritical fluid reactive deposition. A correlation of the experimental data with different isotherm models as well as new strategies for future application of the methods are reported. More |
New Publication in B3, B4Opportunities and limits of Single-Atom Catalysts: How are single atom catalysts across the periodic table behaving under reaction conditions? Which tools can were used to track their structure? Check out the recent review published in Chemical Reviews. More |
New publication in A3, B1, B2, B3, B4Congratulations to Florian Maurer et al. to their study published in ACS Catal.: "Surface Noble Metal Concentration on Ceria as a Key Descriptor for Efficient Catalytic CO Oxidation" More |
New publication in A5Congratulations to Philipp N. Plessow and Charles T. Campbell to their study published in ACS Catal.: "Influence of Adhesion on the Chemical Potential of Supported Nanoparticles as Modeled with Spherical Caps" More |
New publication in B4, C4, C5Congratulations to Bjarne Kreitz et al. to their study published in ACS Catal.: "Detailed Microkinetics for the Oxidation of Exhaust Gas Emissions through Automated Mechanism Generation" More |
Visiting researcher at Politecnico di Torino and keynote lecture at the ECCE
TrackAct at ICEC
Poster Prize for Asad Asadli (another one!)
Poster Prize for Asad Asadli



Four more Years!
International CataLysis Networking Conference 2024
Poster Prize for Asad Asadli
FuturEMission conference in Karlsruhe



PhD Autumn School at TUM
TrackAct Status Meeting at DESY
YounGeCats Poster Workshop
56th German Catalysis Meeting
Welcome Prof. Dr. Moritz Wolf
PL retreat in Trifels
TrackAct annual status meeting
Welcome Prof. Hanf and M. Sc. Rang to our CRC!
Newly funded project A6
CataLysis Networking Conference 2022

UHV-compatible flow reactor




TrackAct goes "Art"-gewandte, part 2:
TrackAct goes "Art"-gewandte, part 1:



![Graphical abstract of "Exploring the Activation of Atomically Precise [Pt17(CO)12(PPh3)8]2+ Clusters: Mechanism and Energetics in Gas Phase and on an Inert Surface"](/img/News/images_medium_nn4c13954_0008_rdax_200x100.png)
More than 100 publications in the first funding period!


















